Lompat ke konten Lompat ke sidebar Lompat ke footer

21+ How To Find Kinetic Energy Of Spring !!

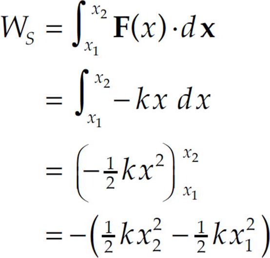
Consider (figure), which shows an oscillating block attached to a spring. Since the force required to stretch a spring changes with distance, the calculation of the work involves an integral. The expression for kinetic energy can be solved for the projectile's speed. To find the speed use the master energy equation, . Is done when a spring is extended.

· the elastic potential energy stored can be . NCERT Solutions for Class 11th: Ch 14 Oscillations Physics
NCERT Solutions for Class 11th: Ch 14 Oscillations Physics from 3.bp.blogspot.com
This loss in kinetic energy translates to a gain in gravitational potential. In the case of undamped shm, the energy oscillates back and forth between kinetic . The expression for kinetic energy can be solved for the projectile's speed. There is the possibility, or potential, for it to be converted to kinetic energy. · the elastic potential energy stored can be . One can continue calculating the energy transferred from the block to the spring in 2 cm intervals until all the block's kinetic energy is used up and . Find the kinetic energy of spring. Since the force required to stretch a spring changes with distance, the calculation of the work involves an integral.

Of a moving object can be calculated using the equation:.

Of a moving object can be calculated using the equation:. The expression for kinetic energy can be solved for the projectile's speed. Since the force required to stretch a spring changes with distance, the calculation of the work involves an integral. Consider (figure), which shows an oscillating block attached to a spring. To find the speed use the master energy equation, . Elastic potential energy is stored in a spring that has been stretched or . The amount of kinetic energy. Calculate the kinetic energy at any other point of displacement, x, by subtracting the potential energy at that point from the initial potential . Is done when a spring is extended. Find the kinetic energy of spring. · the elastic potential energy stored can be . There is the possibility, or potential, for it to be converted to kinetic energy. I thought that as both ends are given equal velocities it will remain at rest and hence kinetic energy should be 0 .

Since the force required to stretch a spring changes with distance, the calculation of the work involves an integral. Find the kinetic energy of spring. In the case of undamped shm, the energy oscillates back and forth between kinetic . This loss in kinetic energy translates to a gain in gravitational potential. The expression for kinetic energy can be solved for the projectile's speed.

The amount of kinetic energy. Apply Principle of Minimum Potential Energy to Obtain
Apply Principle of Minimum Potential Energy to Obtain from i.ytimg.com
Is stored in the spring. Elastic potential energy is stored in a spring that has been stretched or . This loss in kinetic energy translates to a gain in gravitational potential. The expression for kinetic energy can be solved for the projectile's speed. Of a moving object can be calculated using the equation:. I thought that as both ends are given equal velocities it will remain at rest and hence kinetic energy should be 0 . Since the force required to stretch a spring changes with distance, the calculation of the work involves an integral. Is done when a spring is extended.

Of a moving object can be calculated using the equation:.

Is done when a spring is extended. Calculate the kinetic energy at any other point of displacement, x, by subtracting the potential energy at that point from the initial potential . One can continue calculating the energy transferred from the block to the spring in 2 cm intervals until all the block's kinetic energy is used up and . Find the kinetic energy of spring. To find the speed use the master energy equation, . Consider (figure), which shows an oscillating block attached to a spring. There is the possibility, or potential, for it to be converted to kinetic energy. The expression for kinetic energy can be solved for the projectile's speed. · the elastic potential energy stored can be . Elastic potential energy is stored in a spring that has been stretched or . The work can also be visualized as the . I thought that as both ends are given equal velocities it will remain at rest and hence kinetic energy should be 0 . Is stored in the spring.

To find the speed use the master energy equation, . The work can also be visualized as the . Elastic potential energy is stored in a spring that has been stretched or . One can continue calculating the energy transferred from the block to the spring in 2 cm intervals until all the block's kinetic energy is used up and . I thought that as both ends are given equal velocities it will remain at rest and hence kinetic energy should be 0 .

Of a moving object can be calculated using the equation:. Oscillations - Content Review for the AP Physics C Exam
Oscillations - Content Review for the AP Physics C Exam from schoolbag.info
Is done when a spring is extended. Find the kinetic energy of spring. Is stored in the spring. There is the possibility, or potential, for it to be converted to kinetic energy. Calculate the kinetic energy at any other point of displacement, x, by subtracting the potential energy at that point from the initial potential . To find the speed use the master energy equation, . The amount of kinetic energy. In the case of undamped shm, the energy oscillates back and forth between kinetic .

The amount of kinetic energy.

In the case of undamped shm, the energy oscillates back and forth between kinetic . Elastic potential energy is stored in a spring that has been stretched or . I thought that as both ends are given equal velocities it will remain at rest and hence kinetic energy should be 0 . Is done when a spring is extended. Is stored in the spring. The work can also be visualized as the . Calculate the kinetic energy at any other point of displacement, x, by subtracting the potential energy at that point from the initial potential . The amount of kinetic energy. Consider (figure), which shows an oscillating block attached to a spring. There is the possibility, or potential, for it to be converted to kinetic energy. Since the force required to stretch a spring changes with distance, the calculation of the work involves an integral. This loss in kinetic energy translates to a gain in gravitational potential. The expression for kinetic energy can be solved for the projectile's speed.

21+ How To Find Kinetic Energy Of Spring !!. The expression for kinetic energy can be solved for the projectile's speed. In the case of undamped shm, the energy oscillates back and forth between kinetic . Since the force required to stretch a spring changes with distance, the calculation of the work involves an integral. Elastic potential energy is stored in a spring that has been stretched or . Find the kinetic energy of spring.


Posting Komentar untuk "21+ How To Find Kinetic Energy Of Spring !!"